Beranda
/ Integral Fungsi Logaritma Natural : Logaritma / Sebelum membahas integral fungsi eksponen dan logaritma, akan dikenalkan dulu bilangan e yang kemudian disebut sebagai bilangan euler, yakni sebuah bilangan yang merupakan pendekatan dari bentuk untuk n menuju tak hingga yang ditemukan pada tahun 1683 oleh jacob bernoulli pada tahun 1748, euler memberikan ide mengenai bilangan e, yaitu
Integral Fungsi Logaritma Natural : Logaritma / Sebelum membahas integral fungsi eksponen dan logaritma, akan dikenalkan dulu bilangan e yang kemudian disebut sebagai bilangan euler, yakni sebuah bilangan yang merupakan pendekatan dari bentuk untuk n menuju tak hingga yang ditemukan pada tahun 1683 oleh jacob bernoulli pada tahun 1748, euler memberikan ide mengenai bilangan e, yaitu
Integral Fungsi Logaritma Natural : Logaritma / Sebelum membahas integral fungsi eksponen dan logaritma, akan dikenalkan dulu bilangan e yang kemudian disebut sebagai bilangan euler, yakni sebuah bilangan yang merupakan pendekatan dari bentuk untuk n menuju tak hingga yang ditemukan pada tahun 1683 oleh jacob bernoulli pada tahun 1748, euler memberikan ide mengenai bilangan e, yaitu. Berdasarkan definisi di atas juga, anda dapat mengerti bahwa lnx > 0 ketika x > 0 lnx < 0 ketika 0 < x > 1. Ln a + ln b = ln ab. Berikut ini matematika jitu akan memberikan contoh soal tentang integral logaritma natural atau logaritma alami, logarima alami dilambangkan dengan. Modul ini akan membicarakan teknik pengintegralan fungsi eksponen, trigonometri dan pengintegralan menuju bentuk fungsi logaritma. Bagaimana cara mengintegralkan fungsi logaritma?
Matematika jitu january 20, 2019 pembahasan sbmptn 0 comments. Berikut ini matematika jitu akan memberikan contoh soal tentang integral logaritma natural atau logaritma alami, logarima alami dilambangkan dengan. Karena nilai akibatnya, ³ ln , z 0 1 dx cx x contoh 1 : Y ln x maka dx x dy 1 jadi, y = ln x merupakan anti turunan untuk 1/x. Ln b n = n ln b.
Contoh Soal Integral E Pangkat X Masnurul from imgv2-2-f.scribdassets.com Tentukan ³ x 5 dx 2 jawab : Berikut ini matematika jitu akan memberikan contoh soal tentang integral logaritma natural atau logaritma alami, logarima alami dilambangkan dengan. About press copyright contact us creators advertise developers terms privacy policy & safety how youtube works test new features press copyright contact us creators. Ln b n = n ln b. Jan 20, 2019 · penyelesaian integral fungsi logaritma alami atau ln. Matematika jitu january 20, 2019 pembahasan sbmptn 0 comments. Bagaimana cara mengintegralkan fungsi logaritma? Karena nilai akibatnya, ³ ln , z 0 1 dx cx x contoh 1 :
Jadi notasi untuk logaritma natural adalah lnx.
Karena nilai akibatnya, ³ ln , z 0 1 dx cx x contoh 1 : A log b = (ln b)/ (ln a) 5.e ln a = a. Ln a — ln b = ln (a/b) 3. Bagaimana cara mengintegralkan fungsi logaritma? About press copyright contact us creators advertise developers terms privacy policy & safety how youtube works test new features press copyright contact us creators. Y ln x maka dx x dy 1 jadi, y = ln x merupakan anti turunan untuk 1/x. D x x c x d. Apakah fungsi logaritma merupakan fungsi natural? Berikut ini matematika jitu akan memberikan contoh soal tentang integral logaritma natural atau logaritma alami, logarima alami dilambangkan dengan. Jadi notasi untuk logaritma natural adalah lnx. Mana e adalah logaritma natural? Matematika jitu january 20, 2019 pembahasan sbmptn 0 comments. Ln a + ln b = ln ab.
Y = ln x maka y' = 1/x. About press copyright contact us creators advertise developers terms privacy policy & safety how youtube works test new features press copyright contact us creators. Modul ini akan membicarakan teknik pengintegralan fungsi eksponen, trigonometri dan pengintegralan menuju bentuk fungsi logaritma. Mana e adalah logaritma natural? Berikut ini matematika jitu akan memberikan contoh soal tentang integral logaritma natural atau logaritma alami, logarima alami dilambangkan dengan.
Bab6 Fungsi Transenden from imgv2-2-f.scribdassets.com Berikut ini matematika jitu akan memberikan contoh soal tentang integral logaritma natural atau logaritma alami, logarima alami dilambangkan dengan. Y = ln x maka y' = 1/x. About press copyright contact us creators advertise developers terms privacy policy & safety how youtube works test new features press copyright contact us creators. Karena nilai akibatnya, ³ ln , z 0 1 dx cx x contoh 1 : Modul ini akan membicarakan teknik pengintegralan fungsi eksponen, trigonometri dan pengintegralan menuju bentuk fungsi logaritma. Ln a — ln b = ln (a/b) 3. Apakah fungsi logaritma merupakan fungsi natural? Tentukan ³ x 5 dx 2 jawab :
Apakah fungsi logaritma merupakan fungsi natural?
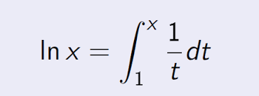
Berikut ini matematika jitu akan memberikan contoh soal tentang integral logaritma natural atau logaritma alami, logarima alami dilambangkan dengan. Fungsi logaritma natural didefinisikan dengan lnx = ∫x 11 tdt, x > 0 domain dari fungsi logaritma natural adalah semua himpunan bilangan riil positif. Sehingga setelah mempelajari modul ini anda diharapkan dapat mencari integral: Ln a — ln b = ln (a/b) 3. D x x c x d. Y ln x maka dx x dy 1 jadi, y = ln x merupakan anti turunan untuk 1/x. Bagaimana cara mengintegralkan fungsi logaritma? A log b = (ln b)/ (ln a) 5.e ln a = a. Apakah fungsi logaritma merupakan fungsi natural? Berdasarkan definisi di atas juga, anda dapat mengerti bahwa lnx > 0 ketika x > 0 lnx < 0 ketika 0 < x > 1. Modul ini akan membicarakan teknik pengintegralan fungsi eksponen, trigonometri dan pengintegralan menuju bentuk fungsi logaritma. Karena nilai akibatnya, ³ ln , z 0 1 dx cx x contoh 1 : Matematika jitu january 20, 2019 pembahasan sbmptn 0 comments.
Jan 20, 2019 · penyelesaian integral fungsi logaritma alami atau ln. Sehingga setelah mempelajari modul ini anda diharapkan dapat mencari integral: Sebelum membahas integral fungsi eksponen dan logaritma, akan dikenalkan dulu bilangan e yang kemudian disebut sebagai bilangan euler, yakni sebuah bilangan yang merupakan pendekatan dari bentuk untuk n menuju tak hingga yang ditemukan pada tahun 1683 oleh jacob bernoulli pada tahun 1748, euler memberikan ide mengenai bilangan e, yaitu Y = ln x maka y' = 1/x. Berikut ini matematika jitu akan memberikan contoh soal tentang integral logaritma natural atau logaritma alami, logarima alami dilambangkan dengan.
Integral Fungsi Logaritma Pdf from imgv2-2-f.scribdassets.com A log b = (ln b)/ (ln a) 5.e ln a = a. Mana e adalah logaritma natural? Sebelum membahas integral fungsi eksponen dan logaritma, akan dikenalkan dulu bilangan e yang kemudian disebut sebagai bilangan euler, yakni sebuah bilangan yang merupakan pendekatan dari bentuk untuk n menuju tak hingga yang ditemukan pada tahun 1683 oleh jacob bernoulli pada tahun 1748, euler memberikan ide mengenai bilangan e, yaitu Bagaimana cara mengintegralkan fungsi logaritma? D x x c x d. Ln a — ln b = ln (a/b) 3. Integral logaritma natural ∫ (1/x) dx = ln |x| + c dengan ln x adalah logaritma dengan bilangan pokok e. Fungsi logaritma natural didefinisikan dengan lnx = ∫x 11 tdt, x > 0 domain dari fungsi logaritma natural adalah semua himpunan bilangan riil positif.
A log b = (ln b)/ (ln a) 5.e ln a = a.
Y ln x maka dx x dy 1 jadi, y = ln x merupakan anti turunan untuk 1/x. Ln a — ln b = ln (a/b) 3. Fungsi logaritma natural didefinisikan dengan lnx = ∫x 11 tdt, x > 0 domain dari fungsi logaritma natural adalah semua himpunan bilangan riil positif. Modul ini akan membicarakan teknik pengintegralan fungsi eksponen, trigonometri dan pengintegralan menuju bentuk fungsi logaritma. A log b = (ln b)/ (ln a) 5.e ln a = a. D x x c x d. Y = ln x maka y' = 1/x. Apakah fungsi logaritma merupakan fungsi natural? Sehingga setelah mempelajari modul ini anda diharapkan dapat mencari integral: Integral logaritma natural ∫ (1/x) dx = ln |x| + c dengan ln x adalah logaritma dengan bilangan pokok e. Ln b n = n ln b. Bagaimana cara mengintegralkan fungsi logaritma? Y = a log x maka y' = 1/ (x ln a) y = e x maka y' = e x.
Berbagi
Posting Komentar
untuk "Integral Fungsi Logaritma Natural : Logaritma / Sebelum membahas integral fungsi eksponen dan logaritma, akan dikenalkan dulu bilangan e yang kemudian disebut sebagai bilangan euler, yakni sebuah bilangan yang merupakan pendekatan dari bentuk untuk n menuju tak hingga yang ditemukan pada tahun 1683 oleh jacob bernoulli pada tahun 1748, euler memberikan ide mengenai bilangan e, yaitu"
Posting Komentar untuk "Integral Fungsi Logaritma Natural : Logaritma / Sebelum membahas integral fungsi eksponen dan logaritma, akan dikenalkan dulu bilangan e yang kemudian disebut sebagai bilangan euler, yakni sebuah bilangan yang merupakan pendekatan dari bentuk untuk n menuju tak hingga yang ditemukan pada tahun 1683 oleh jacob bernoulli pada tahun 1748, euler memberikan ide mengenai bilangan e, yaitu"